我們每天都被聲音包圍:鳥鳴、音樂、車輛的轟鳴……但你是否想過,這些聲音背后隱藏著怎樣的物理規律?為什么有的聲音“震耳欲聾”,有的卻“細若蚊蠅”?今天,我們就用最通俗的語言,揭開聲音的三個核心參數——聲壓、聲功率、聲強的奧秘。

一、聲壓、聲功率、聲強都是誰?
如果把聲音比作瀑布,那么:

1. 聲壓(Sound Pressure):就像瀑布沖擊單位面積水面時的“水壓”,是聲波在空氣中引起的瞬時壓力波動。
單位:帕斯卡(Pa)
例子:人耳能聽到的最小聲壓是20 μPa(微帕),相當于蚊子在3米外振翅;而噴氣發動機的聲壓可達200 Pa,是前者的1000萬倍!
2. 聲強(Sound lntensity):好比瀑布在單位時間內在單位面積上落下的水量,表示聲音的能量密度。
單位:瓦每平方米(W/m)
例子:正常交談的聲強約為10-6 W/m2,而搖滾音樂會可達1 W/m2,能量相差百萬倍!
3. 聲功率(Sound Power):類似瀑布單位時間落下的的總水量,代表聲源每秒輻射的總能量。
單位:瓦(W)
例子:電吹風的聲功率約0.001 W,而大型火箭發射時高達數百萬瓦!
二、它們如何“合作”產生聲音

想象你打開一臺音箱:
1. 聲功率是音箱的“本命屬性”:它由音箱的電路和喇叭決定,就像一個人的肺活量,與外界無關。
2. 聲強是能量的“傳播密度”:距離音箱越遠,聲強越小,就像手電筒的光隨著距離變暗。
3. 聲壓是耳朵的“直接感受”:聲強越大,聲壓越高,你聽到的聲音就越響。
三、為什么用“分貝”表示聲音大小?
1. 分貝
分貝(dB)通過對數壓縮和標準化參考值,將廣泛的聲壓范圍轉化為易于理解的數值標度,同時匹配人類聽覺的非線性感知特性。這種表達方式在工程、醫學、環保等領域成為國際通用的聲音強度描述工具。
人耳可感知的聲壓范圍極廣,從聽閾(20 μPa)到痛閾(約 20 Pa),跨度達100萬倍。直接使用帕斯卡(Pa)會帶來極大的數值差異,例如:
樹葉沙沙聲:0.00002 Pa(20 μPa)
搖滾音樂會:20 Pa(比聽閾高 1,000,000 倍)
通過分貝的對數特性可以將百萬倍的線性差異壓縮到 0 dB 到 120 dB 的范圍內,更便于描述和比較。
2. 聲壓級
聲壓級(SPL):聲壓與參考聲壓之比的平方取常用對數乘以10,用dB(分貝)表示

每增加6分貝,聲壓翻倍;每增加20分貝,聲壓變10倍。
例如:60 dB的談話聲,聲壓是0.002 Pa;120 dB的搖滾現場,聲壓是20 Pa。
3. 聲強級

其實I為聲強;I0為參考聲強,一般取I0=10-12 W/m2,這是相應參考聲壓級P0=2×10-5 Pa 時的聲強。一般情況下可以認為聲壓級等于聲強級。
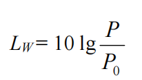
4. 聲功率級


四、常見的誤區
?這個喇叭聲音大,所以功率一定高!
? 真相:聲壓大可能是因為距離近,而聲功率才是設備的“真實實力”。比如廣場舞音箱可能功率高達100 W,但因為距離遠,你聽到的聲壓可能比手機揚聲器(功率1 W)還小。
?分貝翻倍就是聲音響度翻倍!
? 真相:人耳對響度的感知,10 dB差異才會感覺“響一倍”。比如70 dB到80 dB,能量強10倍,但人耳只覺得“響了一倍”。
結語:聲音的科學,生活的藝術
從音樂會到醫療設備,從環保法規到智能家居,聲壓、聲強、聲功率的規律無處不在。理解它們,不僅能讓我們更科學地“聽”世界,還能幫助工程師設計更安靜的空調、更震撼的音箱,甚至用聲波治療疾病。下次當你調節音量時,不妨想一想:這背后是一場聲壓、聲強與聲功率的精密共舞。